


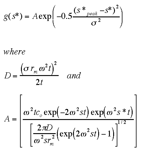
Although A is a function of s*, it can be treated as a constant for the purposes of estimating D since it doesn't noticeably effect the estimation of the width. (s is the the same as s*-peak and is the sedimentation coefficient of the macromolecule; remember that s* is the transformed x-axis in the moving reference frame.)
